Поговорим о тонкостях терминологии – почему мы используем выражение «бизнес-процесс», а не «функция подразделения».

Коротко о понятии бизнес-процесса:

Бизнес-процесс – это взаимосвязанные операции, направленные на создание продукта или услуги для клиента — «бизнес-продукта».
На входе – информационные и материальные ресурсы, на выходе – бизнес-продукт, ценный для клиента процесса. Существует четыре вида продукта процесса: информация, бумажные или электронные документы, физические предметы и оказанные услуги.
К термину продукт добавлено «бизнес», чтобы продемонстрировать ценность для клиента и возможность условно или реально продать его ему за деньги.

Клиенты процесса могут быть, как внутренними, так и внешними.

  • Внутренние клиенты – это коллеги из других подразделений и руководство. Они используют внутренние продукты в своей работе и теоретически могут платить за них деньги.
  • Внешние клиенты – покупатели и государство. Первые покупают итоговый продукт за деньги, вторые – получают документы и налоги с этих денег.

Бизнес-процесс подразумевает работу не для себя, а для других. Обучить сотрудника своего отдела – не бизнес-процесс, а функция. Организация HR-отделом обучения для сотрудников других отделов – это бизнес-процесс, так как результат труда используется другими подразделениями.

Владелец бизнес-процесса – это должностное лицо. В его распоряжении ресурсы для выполнения бизнес-процесса, и он на 100% отвечает за результат. В компании должен быть только один человек, ответственный за процесс.

Если бизнес-процесс осуществляется подразделением, то его владельцем может быть руководитель подразделения. Если бизнес-процесс включает работу нескольких подразделений или часть работы одного подразделения – владельцем может быть специально назначенный человек.

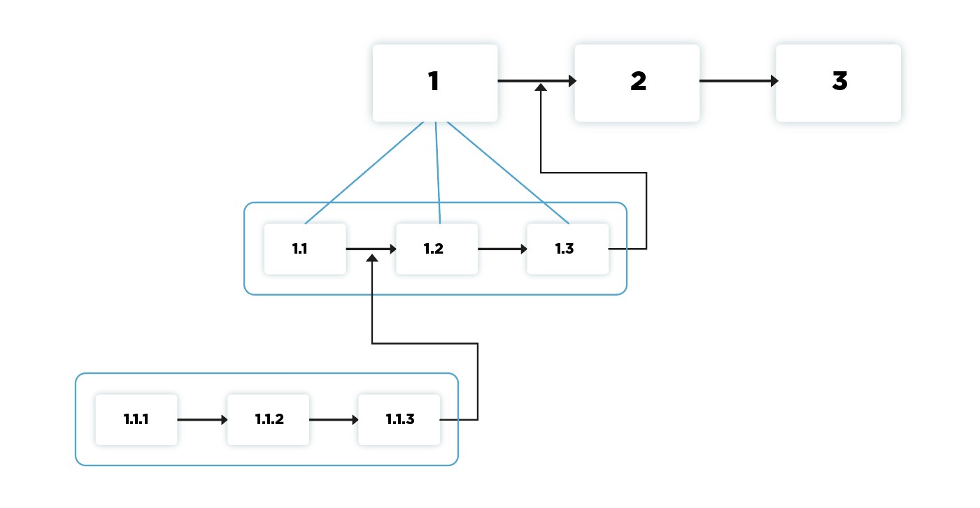
В зависимости от принятой в компании стратегии по моделированию бизнес-процессов, процессы могут быть нескольких уровней – то есть содержать подпроцессы.

Подпроцесс – это вложенный бизнес-процесс по отношению к процессу более высокого уровня. Его можно рассматривать обособленно, поэтому он получает номер и фигурирует в отчетах как самостоятельный процесс, но рангом ниже.

Специальные названия для уровней процессов:

  • Верхний уровень – это ключевые процессы компании. Им присваиваются номера без разряда – 1, 2, 3 и так далее.
  • Первый уровень – это подпроцессы по отношению к процессам верхнего уровня. Они нумеруются как 1.1, 1.2, 1.3 и так далее.
  • Второй уровень – это подпроцессы по отношению к процессам первого уровня. Для их обозначения используются цифры 1.2.1, 1.2.2, 1.2.3 и так далее.

По номеру всегда можно понять, процесс какого уровня перед нами.

В платформе Happy Service оценку получают, как правило, процессы двух уровней - верхний и первый. Но по желанию можно настроить оценку процесса второго уровня.

Таким образом, всю деятельность компании можно представить как набор связанных бизнес-процессов. Соответственно, организация управляется через управление бизнес-процессами. Такой метод получил название «Процессный подход».
На сегодня это один из самых действенных способов сделать компанию эффективнее – через оценку и развитие качества взаимодействия процессов.

Вернемся к терминологии. Почему мы не оперируем «функциями подразделений». В отличие от бизнес-процессов, которые можно представить в виде структурированной схемы, функцию возможно только описать словами. Терминология, не имеющая в своем арсенале ничего кроме текстовых описаний, для управления качеством продукции или услуг категорически не подходит.

Процессный подход позволяет развивать у сотрудников маркетинговое мышление. То есть чувствовать, какой бизнес-продукт нужен коллегам, и предоставлять его.

Выводы из определения процесса:

  • Внутренний бизнес-продукт делается для внутреннего клиента
  • Внешний бизнес-продукт делается для внешнего клиента
  • Нет продукта в формулировке процесса – перед нами не процесс.
  • Клиентоориентированность – это понимание философии и терминологии бизнес-процесса.
  • Чтобы создать хороший процесс, необходимо думать, как клиент – то есть о его потребностях.

Качество внешнего сервиса никогда не превысит качество внутреннего

Виды и примеры бизнес-процессов

Поговорим о том, какие бизнес-процессы бывают и как используются для оценки в Happy Service.

Основные бизнес-процессы – это процессы, непосредственно участвующие в создании добавленной стоимости.
Они представляют собой этапы создания внешнего продукта – от получения сырья у поставщика до продажи продукта внешнему клиенту.

Как правило, состав основных бизнес-процессов неизменен и характеризует бизнес-модель компании и отрасль. Чаще всего, количество этапов или основных бизнес-процессов варьируется в пределах 8 или 9. Но бывает, что их значительно меньше. Например, у юридической компании может быть всего 2 бизнес-процесса – обработка заказа и оказание услуги.

Основные бизнес-процессы имеют ряд признаков:

  • Их главная цель – получение дохода.
  • За них готовы платить внешние клиенты.
  • Успешная компания делает их лучше, чем конкуренты.

Сервисные бизнес-процессы обеспечивают деятельность основных бизнес-процессов и создают добавленную стоимость опосредованно. К ним можно отнести финансовое и юридическое обеспечение, управление персоналом, ИТ, АХО и другие.

Модель, схематически представляющая иерархию бизнес-процессов в компании, называется деревом или моделью бизнес-процессов.
Процессный подход предполагает, что в компании обязательно есть графическая или табличная модель иерархии и зависимости основных бизнес-процессов.

Такой подход к управлению делает компанию успешней, так как она ориентируется на потребности клиентов и рациональнее использует свои ресурсы.

Названия для бизнес-процессов

Подобрать названия для процессов в компании – первый шаг к их описанию, декомпозиции и оценке.

Есть важные правила, которых следует придерживаться, выбирая названия процессам. Например, «основу» названия должны составлять отглагольные существительные. Рассмотрим на практике. HR-отдел подбирает сотрудников во все подразделения компании. Один из процессов в их деятельности – подбор (это и есть отглагольное существительное, от глагола – подбирать).

Таким образом, бизнес-процесс можно назвать «Подбор персонала», и продуктом процесса будет «Подобранный персонал». Узнать все нюансы правильного формирования названий можно из нашего буклета и видеоролика.

Есть и «запреты».
Наша многолетняя экспертиза в области процессного управления помогла выявить слова, которые нежелательно использовать в названиях. У нас вы можете получить полный список STOP-слов, затрудняющих оценку процессов клиентами.